from phasic import Graph, with_ipv # ALWAYS import phasic first to set jax backend correctly
import sys
import numpy as np
import pandas as pd
import matplotlib.pyplot as plt
from matplotlib.colors import LogNorm
import seaborn as sns
from vscodenb import set_vscode_theme
np.random.seed(42)
set_vscode_theme()
sns.set_palette('tab10')Moments and distributions
Construct a graph:
nr_samples = 4
@with_ipv([nr_samples]+[0]*(nr_samples-1))
def coalescent(state):
transitions = []
for i in range(state.size):
for j in range(i, state.size):
same = int(i == j)
if same and state[i] < 2:
continue
if not same and (state[i] < 1 or state[j] < 1):
continue
new = state.copy()
new[i] -= 1
new[j] -= 1
new[i+j+1] += 1
transitions.append((new, state[i]*(state[j]-same)/(1+same)))
return transitionsShow states nicely as data frame:
labels = [f"{i+1}'ton" for i in range(nr_samples)]
pd.DataFrame(graph.states(), columns=labels)| 1'ton | 2'ton | 3'ton | 4'ton | |
|---|---|---|---|---|
| 0 | 0 | 0 | 0 | 0 |
| 1 | 4 | 0 | 0 | 0 |
| 2 | 2 | 1 | 0 | 0 |
| 3 | 0 | 2 | 0 | 0 |
| 4 | 1 | 0 | 1 | 0 |
| 5 | 0 | 0 | 0 | 1 |
This phase-type distribution models the time until all lineages have coalesced. For convenience, we can get its expectation and variance like this:
graph.expectation()1.4999999999999996
graph.variance()1.1388888888888893
But if you want you can get any number of moments like this (here three):
graph.moments(3)[1.4999999999999996, 3.388888888888888, 10.583333333333332]
We can find the expected waiting time given that we start in any of the states, not just the starting state:
graph.expected_waiting_time()[1.4999999999999996, 1.4999999999999996, 1.333333333333333, 1.0, 1.0, 0.0]
Expected time spent in each state (exact):
graph.expected_sojourn_time()[0.0,
0.16666666666666663,
0.33333333333333326,
0.3333333333333333,
0.6666666666666666,
0.0]
Expected time spent in each state after some time:
graph.accumulated_occupancy<bound method Graph.accumulated_occupancy of <Graph (6 vertices)>>
We can get the CDF and PDF. The distribution methods reuse cached computations and recompute only if the graph changes. Compare the running times for the first and second call to the function:
time = np.arange(0, 4, 0.001)%%time
cdf = graph.cdf(time)CPU times: user 215 μs, sys: 18 μs, total: 233 μs
Wall time: 237 μs
%%time
cdf = graph.cdf(time)CPU times: user 35 μs, sys: 6 μs, total: 41 μs
Wall time: 42.9 μs
Plot PDF and CDF:
fig, (ax1, ax2) = plt.subplots(1, 2, figsize=(8, 3))
ax1.plot(time, graph.pdf(time))
ax1.set_title("PDF")
ax2.plot(time, graph.cdf(time))
ax2.set_title("CDF") ;Rewards
We can add rewards which are based on the number of doubletons:
graph = Graph(coalescent)
reward_matrix = graph.states().T
doubletons = reward_matrix[1]
doubletonsarray([0, 0, 1, 2, 0, 0], dtype=int32)
Adding these rewards, the phase-type distribution now represent the total doubleton branch length (total length of branches with two descendants). The expectation and variance are now:
graph.expectation(doubletons), graph.variance(doubletons)(0.9999999999999999, 2.333333333333333)
Using rewards to the moment functions etc. is much faster than changing the graph. Here is the SFS (Site Frequency Spectrum) computed in this way. The 4’ton is included to illustrate that it is represented but has expectation zero since this it the absorbing TMRCA.
labels = [f"{i+1}'ton" for i in range(reward_matrix.shape[0])]
sfs = [graph.expectation(r) for r in reward_matrix]
plt.figure(figsize=(4, 3))
sns.barplot(x=labels, y=sfs, hue=labels) ;And here by doing each reward_transform:
sfs = [
singleton_graph.expectation(),
doubleton_graph.expectation(),
tripleton_graph.expectation(),
quadrupleton_graph.expectation()
]
plt.figure(figsize=(4, 3))
sns.barplot(x=labels, y=sfs, hue=labels) ;Computing the (unrewarded) expectation on the reward-transforming graph produces the same result as passing the rewards to expectation, but is much slower:
graph = Graph(coalescent)
singleton_rewards = graph.states().T[0]%%timeit
graph.expectation(singleton_rewards)4.71 μs ± 9.68 ns per loop (mean ± std. dev. of 7 runs, 100,000 loops each)
%%timeit
graph.reward_transform(singleton_rewards).expectation()17 μs ± 101 ns per loop (mean ± std. dev. of 7 runs, 100,000 loops each)
The real use of reward transformation is that it provides the full distribution of accumulated rewards. For example if we want the PDF/CDF.
State probability and occupancy
There are also utility methods to get the state probability i.e. probabilities of occupying each state at time t.
graph = Graph(coalescent)graph.state_probability(0.2)[0.0,
0.29978049956512576,
0.4964527753776389,
0.06299978987254216,
0.12599957974508433,
0.0]
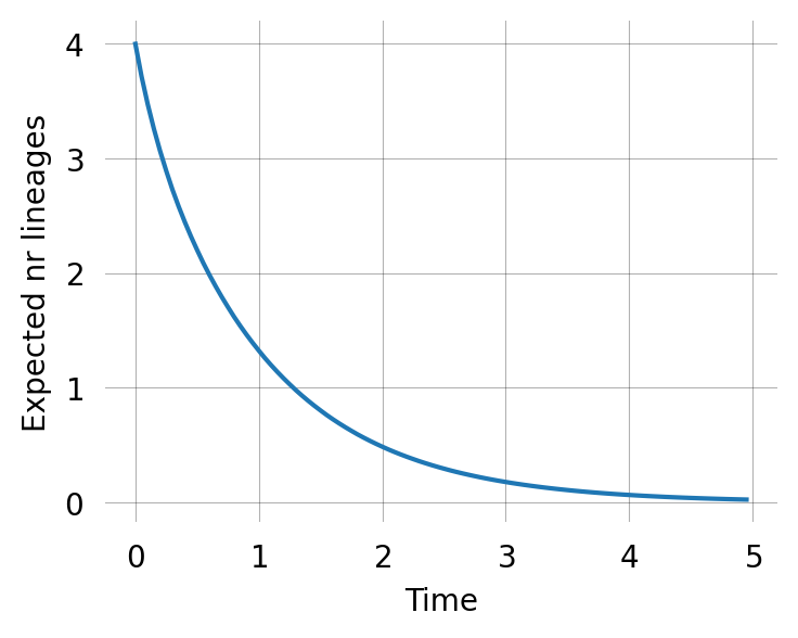
We can use that to compute the expected number of lineages across time:
times = np.arange(0, 5, 0.05)
expected_lineages_left = [
np.sum(graph.state_probability(i)
* np.sum(graph.states(), axis=1))
for i in times
]
fig, ax = plt.subplots(1, 1, figsize=(4, 3))
ax.plot(times, expected_lineages_left)
ax.set_xlabel('Time')
ax.set_ylabel("Expected nr lineages") ;The same way we can also compute the expected number of each kind of lineage across time:
times = np.arange(0, 5, 0.05)
state_probs = np.array([graph.state_probability(i) * graph.states().T for i in times])
labels = [f"{i+1}'ton" for i in range(state_probs.shape[1])]
fig, axes = plt.subplots(1, 2, figsize=(6, 3))
axes[0].stackplot(times, np.sum(state_probs, axis=2).T)
axes[1].plot(times, np.sum(state_probs, axis=2), label=labels)
# plt.subplot(121).stackplot(times, np.sum(state_probs, axis=2).T)
# plt.subplot(122).plot(times, np.sum(state_probs, axis=2), label=labels)
plt.legend() ;We can also get the accumulated visiting time of a particular state. E.g. the total doubleton branchlength before time t=1.5:
rewards = (graph.states()[:,1]>0).astype(int)
np.sum(graph.accumulated_occupancy(time=1.5) * rewards)np.float64(0.5293813150697056)
Random sampling
The library includes functions to do random sampling. These are useful to also validate the computations
graph = Graph(coalescent)
graph.sample(5)array([1.10747026, 0.12129194, 1.38289125, 0.65345548, 3.26269816])
fig, ax = plt.subplots(figsize=(4, 3))
samples = graph.sample(100000)
ax.hist(samples, bins=100, density=True, label='Samples')
x = np.arange(0, 2, 0.05)
ax.plot(x, [graph.pdf(t) for t in x], label='PDF')
ax.set_xlim(0, 2)
ax.legend();You can produce the moments from sampling if needed. This is the empirical second moment computed from samples:
np.sum(np.array(graph.sample(10000))**2).item()/100003.416847326966324
Compare to the exact second moment:
graph.moments(2)[1]3.3888888888888884






